Multiplying Polynomials

How to Multiply Polynomials

Multiplying polynomials involves multiplying each term of one polynomial by each term of the other polynomial, then combining like terms when necessary.

  1. Distribute each term in the first polynomial to every term in the second polynomial.
  2. Simplify the expression by combining like terms.
  3. If applicable, factor out the greatest common factor among all terms to simplify the polynomial.

Tip: Pay close attention to positive and negative signs when distributing, especially when negative polynomials are involved.

Guided Examples

Example 1: Multiply (2x - 6)(x + 3)

Use the FOIL method.

FOIL method example 1

Combine like terms.

Simplified expression for example 1

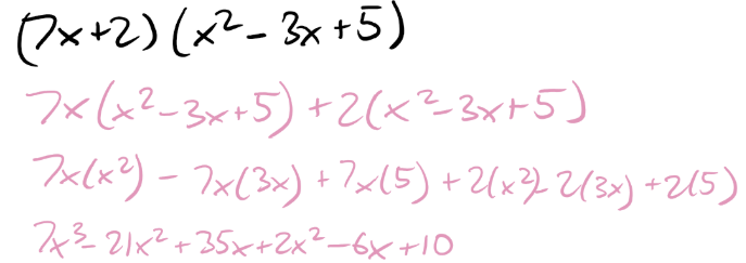
Example 2: Multiply (7x + 2)(x² - 3x + 5)

Use the distributive property.

Distributive property example 2

Combine like terms.

Simplified expression for example 2

Example 3: Multiply (10x - 2)(8x - 4)

Use the FOIL method. (Hint: watch for negative signs!)

FOIL method example 3

Combine like terms.

Simplified expression for example 3

Factor out the greatest common factor among all terms to simplify the polynomial.

Factored expression for example 3